The Pearson correlation coefficient is the most common way of measuring the strength and direction of the linear relationship between two quantitative variables. In the graph, nodes are quantified by N numeric properties (features) of them.
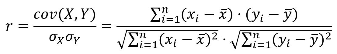
For two variables X = (x1, x2, ..., xn) and Y = (y1, y2, ..., yn) , Pearson correlation coefficient (r) is defined as the ratio of the covariance of them to the product of their standard deviations:

The Pearson correlation coefficient ranges from -1 to 1:
Pearson correlation coefficient | Correlation type | Interpretation |
|---|---|---|
0 < r ≤ 1 | Positive correlation | As one variable becomes larger, the other variable becomes larger |
r = 0 | No linear correlation | (May exist some other types of correlation) |
-1 ≤ r < 0 | Negative correlation | As one variable becomes larger, the other variable becomes smaller |

GQLINSERT (:product {_id:"product1", price:50, weight:160, width:20, height:152}), (:product {_id:"product2", price:42, weight:90, width:30, height:90}), (:product {_id:"product3", price:24, weight:50, width:55, height:70}), (:product {_id:"product4", price:38, weight:20, width:32, height:66})
| Name | Type | Default | Description |
|---|---|---|---|
type | STRING | jaccard | Type of similarity to compute: pearson. |
ids | LIST | / | First group of node _ids. If empty, all nodes are used. |
ids2 | LIST | / | Second group of node _ids for pairing mode. If empty, selection mode is used. |
node_property | LIST | / | Required. Numeric node properties to form a vector for each node. |
degreeCutoff | INT | 0 | Minimum degree to include a node (0 = no cutoff). |
order | STRING | / | Sorts results by similarity: asc or desc. |
limit | INT | -1 | Maximum total results returned (-1 = all). |
top_limit | INT | -1 | Maximum results per source node in selection mode (-1 = all). |
Supports three computation modes:
ids and ids2 are empty, computes similarity between all node pairs in the graph.ids and ids2 are specified, computes similarity between each node in ids and each node in ids2.ids is specified (no ids2), computes similarity between each node in ids and all other nodes. Use top_limit to limit results per source node.GQLCALL algo.similarity({ type: "pearson", ids: ["product1", "product2"], ids2: ["product2", "product3", "product4"], node_property: ["price", "weight", "width", "height"], order: "desc" }) YIELD node1, node2, similarity
Result:
| node1 | node2 | similarity |
|---|---|---|
| product1 | product2 | 0.9987851216012547 |
| product2 | product3 | 0.5078377565989604 |
| product1 | product3 | 0.4743838031328631 |
| product2 | product4 | 0.25357307126950623 |
| product1 | product4 | 0.21049415016958328 |
GQLCALL algo.similarity.stream({ type: "pearson", ids: ["product1", "product3"], node_property: ["price", "weight", "width", "height"], top_limit: 1, order: "desc" }) YIELD node1, node2, similarity RETURN node1, node2, similarity
| node1 | node2 | similarity |
|---|---|---|
| product1 | product2 | 0.9987851216012547 |
| product3 | product2 | 0.5078377565989604 |
Returns:
| Column | Type | Description |
|---|---|---|
pairCount | INT | Number of node pairs computed |
minSimilarity | FLOAT | Minimum similarity score |
maxSimilarity | FLOAT | Maximum similarity score |
avgSimilarity | FLOAT | Average similarity score |
GQLCALL algo.similarity.stats({ type: "pearson", node_property: ["price", "weight", "width", "height"] }) YIELD pairCount, minSimilarity, maxSimilarity, avgSimilarity
Result:
| pairCount | minSimilarity | maxSimilarity | avgSimilarity |
|---|---|---|---|
| 12 | 0.21049415016958328 | 0.9987851216012547 | 0.4865158473633962 |
Computes results and writes them back to node properties.
Write parameters:
| Name | Type | Description |
|---|---|---|
db.property | STRING or MAP | Node property to write results to. |
Returns:
| Column | Type | Description |
|---|---|---|
task_id | STRING | Task identifier for tracking via SHOW TASKS |
nodesWritten | INT | Number of nodes with properties written |
computeTimeMs | INT | Time spent computing the algorithm (milliseconds) |
writeTimeMs | INT | Time spent writing properties to storage (milliseconds) |
GQLCALL algo.similarity.write({ type: "pearson", ids: ["product1"], node_property: ["price", "weight", "width", "height"] }, { db: { property: "sim_score" } }) YIELD task_id, nodesWritten, computeTimeMs, writeTimeMs