The HANP (Hop Attenuation & Node Preference) algorithm extends the traditional Label Propagation algorithm (LPA) by incorporating a label score attenuation mechanism. The goal of HANP is to improve the accuracy and robustness of community detection in networks. It was proposed in 2009:
HANP associates each label with a score which decreases as it propagates from its origin. Initially, all labels are assigned a score of 1. Each time a node adopts a new label from its neighborhood, the score of that label is attenuated by subtracting a hop attenuation factor δ (0 < δ ≤ 1).
The hop attenuation mechanism helps limit the spread of labels to nearby nodes and prevents any single label from dominating the entire network.
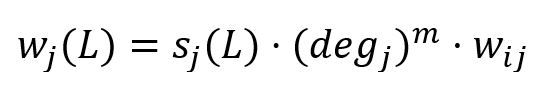
In the calculation of the new maximal label, HANP incorporates node preference based on node degree. When node j ∈ Ni propagates its label L to node i, the weight of label L is calculated by:

where,
sj(L) is the score of label L in j.degj is the degree of j. When m > 0, more preference is given to nodes with high degree; m < 0, more preference is given to nodes with low degree; m = 0, no node preference is applied.wij is the sum of edge weights between i and j.Given the edge weights and label scores shown in the example below, if we set m = 2 and δ = 0.2, the blue node will update its label from d to a. The score of label a in the blue node will be attenuated to 0.6.

GQLINSERT (A:user {_id: "A"}), (B:user {_id: "B"}), (C:user {_id: "C"}), (D:user {_id: "D"}), (E:user {_id: "E"}), (F:user {_id: "F"}), (G:user {_id: "G"}), (H:user {_id: "H"}), (I:user {_id: "I"}), (J:user {_id: "J"}), (K:user {_id: "K"}), (L:user {_id: "L"}), (M:user {_id: "M"}), (N:user {_id: "N"}), (O:user {_id: "O"}), (A)-[:connect]->(B), (A)-[:connect]->(C), (A)-[:connect]->(F), (A)-[:connect]->(K), (B)-[:connect]->(C), (C)-[:connect]->(D), (D)-[:connect]->(A), (D)-[:connect]->(E), (E)-[:connect]->(A), (F)-[:connect]->(G), (F)-[:connect]->(J), (G)-[:connect]->(H), (H)-[:connect]->(F), (I)-[:connect]->(F), (I)-[:connect]->(H), (J)-[:connect]->(I), (K)-[:connect]->(F), (K)-[:connect]->(N), (L)-[:connect]->(M), (L)-[:connect]->(N), (M)-[:connect]->(K), (M)-[:connect]->(N), (N)-[:connect]->(M), (O)-[:connect]->(N)
| Name | Type | Default | Description |
|---|---|---|---|
maxIterations | INT | 10 | Maximum number of propagation iterations. |
delta | FLOAT | 0.5 | Hop attenuation factor (0 < δ ≤ 1). Higher values cause labels to decay faster. |
m | FLOAT | 0 | Node degree preference exponent. m > 0 favors high-degree nodes; m < 0 favors low-degree; m = 0 no preference. |
limit | INT | -1 | Limits the number of results returned (-1 = all). |
order | STRING | / | Sorts the results by community: asc or desc. |
Returns:
| Column | Type | Description |
|---|---|---|
nodeId | STRING | Node identifier (_id) |
community | INT | Community identifier |
GQLCALL algo.hanp({ maxIterations: 10, m: 0, delta: 0.5 }) YIELD nodeId, community
Returns the same columns as run mode, streamed for memory efficiency.
GQLCALL algo.hanp.stream({ maxIterations: 10, m: 0, delta: 0.5 }) YIELD nodeId, community RETURN community, COLLECT(nodeId) AS members GROUP BY community
Returns:
| Column | Type | Description |
|---|---|---|
nodeCount | INT | Total number of nodes |
communityCount | INT | Number of communities detected |
largestCommunitySize | INT | Size of the largest community |
smallestCommunitySize | INT | Size of the smallest community |
GQLCALL algo.hanp.stats({ delta: 0.2 }) YIELD nodeCount, communityCount, largestCommunitySize, smallestCommunitySize
Computes results and writes them back to node properties. The write configuration is passed as a second argument map.
Write parameters:
| Name | Type | Description |
|---|---|---|
db.property | STRING or MAP | Node property to write results to. String: writes the community column in results to a property. Map: explicit column-to-property mapping (e.g., {community: 'comm_id'}). |
Writable columns:
| Column | Type | Description |
|---|---|---|
community | INT | Community identifier |
Returns:
| Column | Type | Description |
|---|---|---|
task_id | STRING | Task identifier for tracking via SHOW TASKS |
nodesWritten | INT | Number of nodes with properties written |
computeTimeMs | INT | Time spent computing the algorithm (milliseconds) |
writeTimeMs | INT | Time spent writing properties to storage (milliseconds) |
GQLCALL algo.hanp.write({delta: 0.2}, { db: { property: "comm_id" } }) YIELD task_id, nodesWritten, computeTimeMs, writeTimeMs