The Local Clustering Coefficient algorithm calculates the density of connection among the immediate neighbors of a node. It quantifies the ratio of actual connections among the neighbors to the maximum possible connections.
The local clustering coefficient provides insights into the cohesion of a node's ego network. In the context of a social network, a high local clustering coefficient suggests that the person's friends are likely to be connected to each other, indicating the presence of a closely-knit social group. Conversely, a low local clustering coefficient indicates a more dispersed ego network.
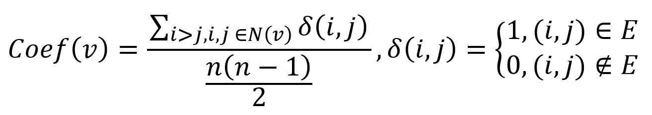
Mathematically, the local clustering coefficient of a node in an undirected graph is calculated as the ratio of the number of connected neighbor pairs to the total number of possible neighbor pairs:

where n is the number of nodes contained in the 1-hop neighborhood of node v (denoted as N(v)), i and j are any two distinct nodes within N(v), δ(i,j) is equal to 1 if i and j are connected, and 0 otherwise.

In this example, the local clustering coefficient of the red node is 1/(5*4/2) = 0.1.

GQLINSERT (Lee:default {_id: "Lee"}), (Choi:default {_id: "Choi"}), (Mia:default {_id: "Mia"}), (Fiona:default {_id: "Fiona"}), (Chang:default {_id: "Chang"}), (John:default {_id: "John"}), (Park:default {_id: "Park"}), (Choi)-[:knows]->(Park), (Choi)-[:knows]->(Lee), (Park)-[:knows]->(Lee), (Park)-[:knows]->(Mia), (Lee)-[:knows]->(Mia), (Mia)-[:knows]->(Fiona), (Fiona)-[:knows]->(Lee), (Lee)-[:knows]->(Chang), (Lee)-[:knows]->(John), (John)-[:knows]->(Fiona)
| Name | Type | Default | Description |
|---|---|---|---|
direction | STRING | both | Edge direction: in, out, or both. |
limit | INT | -1 | Limits the number of results returned (-1 = all). |
order | STRING | / | Sorts the results by coefficient: asc or desc. |
Returns:
| Column | Type | Description |
|---|---|---|
nodeId | STRING | Node identifier (_id) |
coefficient | FLOAT | Local clustering coefficient |
triangles | INT | Number of triangles containing the node |
degree | INT | Degree of the node |
GQLCALL algo.localclusteringcoefficient({ order: "desc" }) YIELD nodeId, coefficient, triangles, degree
Result:
| nodeId | coefficient | triangles | degree |
|---|---|---|---|
| Choi | 1 | 1 | 2 |
| John | 1 | 1 | 2 |
| Mia | 0.6666666666666666 | 2 | 3 |
| Park | 0.6666666666666666 | 2 | 3 |
| Fiona | 0.6666666666666666 | 2 | 3 |
| Lee | 0.26666666666666666 | 4 | 6 |
| Chang | 0 | 0 | 1 |
Returns the same columns as run mode, streamed for memory efficiency.
GQLCALL algo.localclusteringcoefficient.stream({direction: "in"}) YIELD nodeId, coefficient RETURN nodeId, coefficient
Result:
| nodeId | coefficient |
|---|---|
| Choi | 0 |
| Mia | 0.5 |
| Lee | 0 |
| Park | 0 |
| Chang | 0 |
| John | 0 |
| Fiona | 0 |
Returns:
| Column | Type | Description |
|---|---|---|
nodeCount | INT | Total number of nodes |
avgCoefficient | FLOAT | Average local clustering coefficient |
globalClusteringCoefficient | FLOAT | Global clustering coefficient (3 * triangles / triples) |
GQLCALL algo.localclusteringcoefficient.stats() YIELD nodeCount, avgCoefficient, globalClusteringCoefficient
Result:
| nodeCount | avgCoefficient | globalClusteringCoefficient |
|---|---|---|
| 7 | 0.6095238095238095 | 0.46153846153846156 |
Computes results and writes them back to node properties. The write configuration is passed as a second argument map.
Write parameters:
| Name | Type | Description |
|---|---|---|
db.property | STRING or MAP | Node property to write results to. String: writes the coefficient column in results to a property. Map: explicit column-to-property mapping (e.g., {coefficient: 'lcc', triangles: 'tri'}). |
Writable columns:
| Column | Type | Description |
|---|---|---|
coefficient | FLOAT | Local clustering coefficient |
triangles | INT | Triangle count |
degree | INT | Node degree |
Returns:
| Column | Type | Description |
|---|---|---|
task_id | STRING | Task identifier for tracking via SHOW TASKS |
nodesWritten | INT | Number of nodes with properties written |
computeTimeMs | INT | Time spent computing the algorithm (milliseconds) |
writeTimeMs | INT | Time spent writing properties to storage (milliseconds) |
GQLCALL algo.localclusteringcoefficient.write({}, { db: { property: "lcc" } }) YIELD task_id, nodesWritten, computeTimeMs, writeTimeMs