In cosine similarity, data objects in a dataset are treated as vectors, and it uses the cosine value of the angle between two vectors to indicate the similarity between them. In the graph, N numeric node properties (features) are specified to form N-dimensional vectors; two nodes are considered similar if their vectors are similar.
Cosine similarity ranges from -1 to 1, where 1 indicates that the two vectors point in the same direction, and -1 indicates they point in opposite directions.

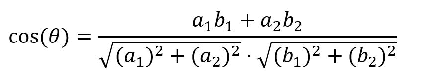
In 2-dimensional space, the cosine similarity between vectors A = [a1, a2] and B = [b1, b2] is computed as:

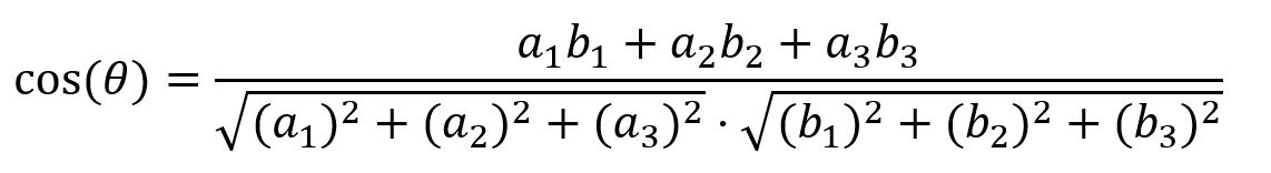
In 3-dimensional space, the cosine similarity between vectors A = [a1, a2, a3] and B = [b1, b2, b3] is computed as:

The following diagram shows the relationship between vectors A and B in 2D and 3D spaces, as well as the angle θ between them:

Generalized to N-dimensional space, cosine similarity is computed as:


GQLINSERT (:product {_id: "product1", price: 50, weight: 160, width: 20, height: 152}), (:product {_id: "product2", price: 42, weight: 90, width: 30, height: 90}), (:product {_id: "product3", price: 24, weight: 50, width: 55, height: 70}), (:product {_id: "product4", price: 38, weight: 20, width: 32, height: 66})
| Name | Type | Default | Description |
|---|---|---|---|
type | STRING | jaccard | Type of similarity to compute: cosine. |
ids | LIST | / | First group of node _ids. If empty, all nodes are used. |
ids2 | LIST | / | Second group of node _ids for pairing mode. If empty, selection mode is used. |
node_property | LIST | / | Required. Numeric node properties to form a vector for each node. |
degreeCutoff | INT | 0 | Minimum degree to include a node (0 = no cutoff). |
order | STRING | / | Sorts results by similarity: asc or desc. |
limit | INT | -1 | Maximum total results returned (-1 = all). |
top_limit | INT | -1 | Maximum results per source node in selection mode (-1 = all). |
Supports three computation modes:
ids and ids2 are empty, computes similarity between all node pairs in the graph.ids and ids2 are specified, computes similarity between each node in ids and each node in ids2.ids is specified (no ids2), computes similarity between each node in ids and all other nodes. Use top_limit to limit results per source node.Returns:
| Column | Type | Description |
|---|---|---|
node1 | STRING | First node identifier (_id) |
node2 | STRING | Second node identifier (_id) |
similarity | FLOAT | Computed cosine similarity score |
Cosine similarity in pairing mode:
GQLCALL algo.similarity({ type: "cosine", ids: ["product1"], ids2: ["product2", "product3", "product4"], node_property: ["price", "weight", "width", "height"] }) YIELD node1, node2, similarity
Result:
| node1 | node2 | similarity |
|---|---|---|
| product1 | product2 | 0.9865294135291195 |
| product1 | product3 | 0.8788584075196542 |
| product1 | product4 | 0.8168761502672031 |
Cosine similarity in selection mode (top 1 per source node):
GQLCALL algo.similarity({ type: "cosine", ids: ["product1", "product3"], node_property: ["price", "weight", "width", "height"], top_limit: 1 }) YIELD node1, node2, similarity
Result:
| node1 | node2 | similarity |
|---|---|---|
| product1 | product2 | 0.9865294135291195 |
| product3 | product2 | 0.9342165307256634 |
Returns the same columns as run mode, streamed for memory efficiency.
GQLCALL algo.similarity.stream({ type: "cosine", ids: ["product1"], node_property: ["price", "weight", "width", "height"], order: "desc" }) YIELD node1, node2, similarity RETURN node1, node2, similarity
Result:
| node1 | node2 | similarity |
|---|---|---|
| product1 | product2 | 0.9865294135291195 |
| product1 | product3 | 0.8788584075196542 |
| product1 | product4 | 0.8168761502672031 |
Returns:
| Column | Type | Description |
|---|---|---|
pairCount | INT | Number of node pairs computed |
minSimilarity | FLOAT | Minimum similarity score |
maxSimilarity | FLOAT | Maximum similarity score |
avgSimilarity | FLOAT | Average similarity score |
GQLCALL algo.similarity.stats({ type: "cosine", node_property: ["price", "weight", "width", "height"] }) YIELD pairCount, minSimilarity, maxSimilarity, avgSimilarity
Result:
| pairCount | minSimilarity | maxSimilarity | avgSimilarity |
|---|---|---|---|
| 12 | 0.8168761502672031 | 0.9865294135291195 | 0.9047702651283608 |
Computes results and writes them back to node properties. The write configuration is passed as a second argument map.
Write parameters:
| Name | Type | Description |
|---|---|---|
db.property | STRING or MAP | Node property to write results to. String: writes the similarity column in results to a property. Map: explicit column-to-property mapping (e.g., {similarity: 'cos_score'}). |
Writable columns:
| Column | Type | Description |
|---|---|---|
similarity | FLOAT | Computed cosine similarity score |
Returns:
| Column | Type | Description |
|---|---|---|
task_id | STRING | Task identifier for tracking via SHOW TASKS |
nodesWritten | INT | Number of nodes with properties written |
computeTimeMs | INT | Time spent computing the algorithm (milliseconds) |
writeTimeMs | INT | Time spent writing properties to storage (milliseconds) |
GQLCALL algo.similarity.write({ type: "cosine", ids: ["product1", "product2"], node_property: ["price", "weight", "width", "height"] }, { db: { property: "sim_score" } }) YIELD task_id, nodesWritten, computeTimeMs, writeTimeMs