Harmonic Centrality is a variant of Closeness Centrality. The average shortest distance measurement proposed by harmonic centrality is compatible with infinite values which would occur in a disconnected graph. Harmonic centrality was first proposed by M. Marchiori and V. Latora in 2000, and then by A. Dekker and Y. Rochat in 2005 and 2009:
Harmonic centrality ranges from 0 to 1; higher scores indicate that a node is closer to other nodes in the graph.
The shortest distance between two nodes is defined as the number of edges in the shortest path connecting them. Please refer to Closeness Centrality for more details.
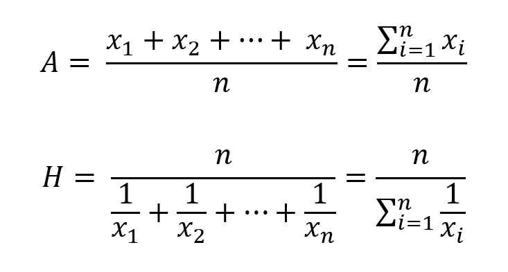
The harmonic mean is the reciprocal of the arithmetic mean of the reciprocals of the variables. The formula for calculating the arithmetic mean A and the harmonic mean H is as follows:

A classic application of harmonic mean is to calculate the average speed when traveling back and forth at different speeds. Suppose there is a round trip, the forward and backward speeds are 30 km/h and 10 km/h respectively. What is the average speed for the entire trip?
The arithmetic mean A = (30+10)/2 = 20 km/h is not appropriate in this case. Since the backward journey takes three times as long as the forward, during most time of the entire trip the speed stays at 10 km/h, so we expect the average speed to be closer to 10 km/h.
Assuming the one-way distance is 1, the average speed that takes travel time into consideration is 2/(1/30+1/10) = 15 km/h. This value, the harmonic mean, is adjusted by the time spent during each journey.
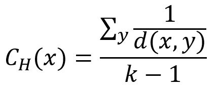
Harmonic centrality score of a node defined by this algorithm is the inverse of the harmonic mean of the shortest distances from the node to all other nodes. The formula is:

where x is the target node, y is any node in the graph other than x, k-1 is the number of y, d(x,y) is the shortest distance between x and y, d(x,y) = +∞ when x and y are not reachable to each other, in this case 1/d(x,y) = 0.

The harmonic centrality of node a in the above graph is (1 + 1/2 + 1/+∞ + 1/+∞) / 4 = 0.375, and the harmonic centrality of node d is (1/+∞ + 1/+∞ + 1/+∞ + 1) / 4 = 0.25.

GQLINSERT (A:user {_id: "A"}), (B:user {_id: "B"}), (C:user {_id: "C"}), (D:user {_id: "D"}), (E:user {_id: "E"}), (F:user {_id: "F"}), (G:user {_id: "G"}), (H:user {_id: "H"}), (A)-[:vote {score: 2}]->(B), (A)-[:vote {score: 3}]->(E), (B)-[:vote {score: 4}]->(B), (B)-[:vote {score: 2}]->(C), (C)-[:vote {score: 3}]->(A), (D)-[:vote {score: 1}]->(A), (F)-[:vote {score: 1}]->(G)
| Name | Type | Default | Description |
|---|---|---|---|
ids | LIST | / | _ids of nodes to compute (empty = all nodes). |
direction | STRING | both | Edge direction: in, out, or both. |
weight | STRING or LIST | / | Numeric edge property for weighted shortest paths. |
limit | INT | -1 | Limits the number of results returned (-1 = all). |
order | STRING | / | Sorts the results by score: asc or desc. |
Returns:
| Column | Type | Description |
|---|---|---|
nodeId | STRING | Node identifier (_id) |
score | FLOAT | Harmonic centrality score (higher = more central) |
rank | INT | Rank position (1 = highest harmonic centrality) |
Harmonic centrality for all nodes:
GQLCALL algo.harmonic({ order: "desc" }) YIELD nodeId, score, rank
Result:
| nodeId | score | rank |
|---|---|---|
| A | 0.5714285714285714 | 1 |
| C | 0.42857142857142855 | 2 |
| B | 0.42857142857142855 | 3 |
| E | 0.3571428571428571 | 4 |
| D | 0.3571428571428571 | 5 |
| G | 0.14285714285714285 | 6 |
| F | 0.14285714285714285 | 7 |
| H | 0 | 8 |
Weighted harmonic centrality:
GQLCALL algo.harmonic({ ids: ["A", "B"], weight: ["score"] }) YIELD nodeId, score, rank
Result:
| nodeId | score | rank |
|---|---|---|
| A | 0.3095238095238095 | 1 |
| B | 0.21904761904761902 | 2 |
Returns the same columns as run mode, streamed for memory efficiency.
GQLCALL algo.harmonic.stream({ direction: "in" }) YIELD nodeId, score FILTER score = 0 RETURN nodeId, score
Result:
| nodeId | score |
|---|---|
| D | 0 |
| F | 0 |
| H | 0 |
Returns:
| Column | Type | Description |
|---|---|---|
nodeCount | INT | Total number of nodes |
minScore | FLOAT | Minimum harmonic centrality score |
maxScore | FLOAT | Maximum harmonic centrality score |
avgScore | FLOAT | Average harmonic centrality score |
GQLCALL algo.harmonic.stats() YIELD nodeCount, minScore, maxScore, avgScore
Result:
| nodeCount | minScore | maxScore | avgScore |
|---|---|---|---|
| 8 | 0 | 0.5714285714285714 | 0.3035714285714286 |
Computes results and writes them back to node properties. The write configuration is passed as a second argument map.
Write parameters:
| Name | Type | Description |
|---|---|---|
db.property | STRING or MAP | Node property to write results to. String: writes the score column in results to a property. Map: explicit column-to-property mapping (e.g., {score: 'hc_score', rank: 'hc_rank'}). |
Writable columns:
| Column | Type | Description |
|---|---|---|
score | FLOAT | Harmonic centrality score |
rank | INT | Rank position |
Returns:
| Column | Type | Description |
|---|---|---|
task_id | STRING | Task identifier for tracking via SHOW TASKS |
nodesWritten | INT | Number of nodes with properties written |
computeTimeMs | INT | Time spent computing the algorithm (milliseconds) |
writeTimeMs | INT | Time spent writing properties to storage (milliseconds) |
GQLCALL algo.harmonic.write({}, { db: { property: "hc_score" } }) YIELD task_id, nodesWritten, computeTimeMs, writeTimeMs