Jaccard similarity, or Jaccard index, was proposed by Paul Jaccard in 1901. It’s a metric of similarity for two sets of data. In the graph, collecting the neighbors of a node into a set, two nodes are considered similar if their neighborhood sets are similar.
Jaccard similarity ranges from 0 to 1, where 1 indicates that two sets are identical, and 0 indicates that they share no common elements.
Given two sets A and B, the Jaccard similarity between them is computed as:

In the following example, set A = {b,c,e,f,g}, set B = {a,d,b,g}, their intersection A⋂B = {b,g}, their union A⋃B = {a,b,c,d,e,f,g}, hence the Jaccard similarity between A and B is 2 / 7 = 0.285714.

When applying Jaccard Similarity to compare two nodes in a graph, we use the 1-hop neighborhood set to represent each target node. The 1-hop neighborhood set:

In this graph, the 1-hop neighborhood set of nodes u and v is:
Therefore, the Jaccard similarity between nodes u and v is 2 / 6 = 0.333333.
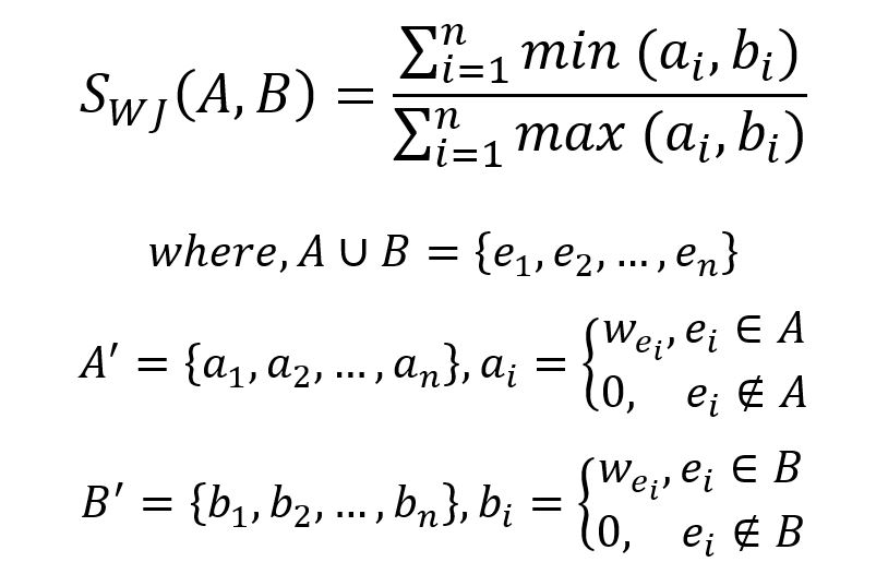
The Weighted Jaccard Similarity is an extension of the classic Jaccard Similarity that takes into account the weights associated with elements in the sets being compared.
The formula for Weighted Jaccard Similarity is given by:


In this weighted graph, the union of the 1-hop neighborhood sets Nu and Nv is {a,b,c,d,e,f}. For each element in the union set, assign a value equal to the sum of the edge weights between the target node and the corresponding node; assign 0 if no edge exists between them:
| a | b | c | d | e | f | |
|---|---|---|---|---|---|---|
| N'u | 1 | 1 | 1 | 1 | 0.5 | 0 |
| N'v | 0 | 0 | 0 | 0.5 | 1.5 + 0.1 =1.6 | 1 |
Therefore, the Weighted Jaccard Similarity between nodes u and v is (0+0+0+0.5+0.5+0) / (1+1+1+1+1.6+1) = 0.151515.
NOTEPlease ensure that the sum of the edge weights between the target node and the neighboring node is greater than or equal to 0.

GQLINSERT (userA:user {_id: "userA"}), (userB:user {_id: "userB"}), (userC:user {_id: "userC"}), (userD:user {_id: "userD"}), (running:sport {_id: "running"}), (tennis:sport {_id: "tennis"}), (baseball:sport {_id: "baseball"}), (swimming:sport {_id: "swimming"}), (badminton:sport {_id: "badminton"}), (iceball:sport {_id: "iceball"}), (userA)-[:likes {weight: 2}]->(tennis), (userA)-[:likes {weight: 1}]->(baseball), (userA)-[:likes {weight: 3}]->(swimming), (userA)-[:likes {weight: 2}]->(badminton), (userB)-[:likes {weight: 1}]->(running), (userB)-[:likes {weight: 3}]->(swimming), (userC)-[:likes {weight: 2}]->(swimming), (userD)-[:likes {weight: 1}]->(running), (userD)-[:likes {weight: 2}]->(badminton), (userD)-[:likes {weight: 2}]->(iceball)
| Name | Type | Default | Description |
|---|---|---|---|
type | STRING | jaccard | Type of similarity to compute: jaccard. |
ids | LIST | / | First group of node _ids. If empty, all nodes are used. |
ids2 | LIST | / | Second group of node _ids for pairing mode. If empty, selection mode is used. |
weight | LIST | / | Numeric edge properties used as weights for weighted Jaccard. |
degreeCutoff | INT | 0 | Minimum degree to include a node (0 = no cutoff). |
order | STRING | / | Sorts results by similarity: asc or desc. |
limit | INT | -1 | Maximum total results returned (-1 = all). |
top_limit | INT | -1 | Maximum results per source node in selection mode (-1 = all). |
Supports three computation modes:
ids and ids2 are empty, computes similarity between all node pairs in the graph.ids and ids2 are specified, computes similarity between each node in ids and each node in ids2.ids is specified (no ids2), computes similarity between each node in ids and all other nodes. Use top_limit to limit results per source node.Returns:
| Column | Type | Description |
|---|---|---|
node1 | STRING | First node identifier (_id) |
node2 | STRING | Second node identifier (_id) |
similarity | FLOAT | Computed similarity score |
Jaccard similarity in pairing mode:
GQLCALL algo.similarity({ type: "jaccard", ids: ["userC"], ids2: ["userA", "userB", "userD"] }) YIELD node1, node2, similarity
Result:
| node1 | node2 | similarity |
|---|---|---|
| userC | userA | 0.25 |
| userC | userB | 0.5 |
| userC | userD | 0 |
Jaccard similarity in selection mode:
GQLCALL algo.similarity({ type: "jaccard", ids: ["userA"], weight: ["weight"], top_limit: 2 }) YIELD node1, node2, similarity RETURN node1, node2, similarity
Result:
| node1 | node2 | similarity |
|---|---|---|
| userA | userB | 0.3333333333333333 |
| userA | userC | 0.25 |
Returns the same columns as run mode, streamed for memory efficiency.
GQLCALL algo.similarity.stream({ type: "jaccard", degreeCutoff: 3 }) YIELD node1, node2, similarity RETURN node1, node2, similarity
Result:
| node1 | node2 | similarity |
|---|---|---|
| swimming | userA | 0 |
| swimming | userD | 0 |
| userA | swimming | 0 |
| userA | userD | 0.16666666666666666 |
| userD | swimming | 0 |
| userD | userA | 0.16666666666666666 |
Returns:
| Column | Type | Description |
|---|---|---|
pairCount | INT | Number of node pairs computed |
minSimilarity | FLOAT | Minimum similarity score |
maxSimilarity | FLOAT | Maximum similarity score |
avgSimilarity | FLOAT | Average similarity score |
GQLCALL algo.similarity.stats({ type: "jaccard" }) YIELD pairCount, minSimilarity, maxSimilarity, avgSimilarity
Result:
| pairCount | minSimilarity | maxSimilarity | avgSimilarity |
|---|---|---|---|
| 90 | 0 | 1 | 0.1303703703703704 |
Computes results and writes them back to node properties. The write configuration is passed as a second argument map.
Write parameters:
| Name | Type | Description |
|---|---|---|
db.property | STRING or MAP | Node property to write results to. String: writes the similarity column in results to a property. Map: explicit column-to-property mapping (e.g., {similarity: 'sim_score'}). |
Writable columns:
| Column | Type | Description |
|---|---|---|
similarity | FLOAT | Computed similarity score |
Returns:
| Column | Type | Description |
|---|---|---|
task_id | STRING | Task identifier for tracking via SHOW TASKS |
nodesWritten | INT | Number of nodes with properties written |
computeTimeMs | INT | Time spent computing the algorithm (milliseconds) |
writeTimeMs | INT | Time spent writing properties to storage (milliseconds) |
GQLCALL algo.similarity.write({type: "jaccard", ids: ["userA", "userB"]}, { db: { property: "sim_score" } }) YIELD task_id, nodesWritten, computeTimeMs, writeTimeMs