The HITS (Hyperlink-Induced Topic Search) algorithm was developed by L.M. Kleinberg in 1999 with the purpose of improving the quality of search methods on the World Wide Web (WWW). HITS makes use of the mutual reinforcing relationship between authorities and hubs to evaluate and rank a set of linked entities.
In WWW, hyperlinks represent some latent human judgment: the creator of page p, by including a link to page q, has in some measure conferred authority on q. Instructively, a node with large in-degree is viewed as an authority.
If a node points to a considerable number of authoritative nodes, it is referred to as a hub.
As illustrated in the graph below, red nodes represent good authorities, while green nodes represent good hubs.

Hubs and authorities exhibit a mutually reinforcing relationship: a good hub points to many good authorities; a good authority is pointed to by many good hubs.
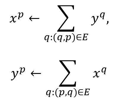
HITS algorithm operates on the whole graph iteratively to compute the authority weight (denoted as x) and hub weight (denoted as y) for each node through the link structure. Nodes with larger x-values and y-values are viewed as better authorities and hubs respectively.
In a directed graph G = (V, E), all nodes are initialized with x = 1 and y = 1. In each iteration, for each node p ∈ V, update its x and y values as follows:

Here is an example:

At the end of one iteration, normalize all x values and all y values to meet the invariant below:

The algorithm iterates until the changes in all x and y values converge within a specific tolerance, or until the maximum number of iterations is reached. In the experiments of the original author, the convergence is quite rapid, 20 iterations are normally sufficient.

GQLINSERT (A:default {_id: "A"}), (B:default {_id: "B"}), (C:default {_id: "C"}), (D:default {_id: "D"}), (E:default {_id: "E"}), (F:default {_id: "F"}), (G:default {_id: "G"}), (H:default {_id: "H"}), (A)-[:default]->(F), (B)-[:default]->(A), (C)-[:default]->(A), (C)-[:default]->(B), (D)-[:default]->(A), (D)-[:default]->(F), (E)-[:default]->(A), (E)-[:default]->(G), (F)-[:default]->(H), (G)-[:default]->(F)
| Name | Type | Default | Description |
|---|---|---|---|
maxIterations | INT | 20 | Maximum number of iterations. |
tolerance | FLOAT | 0.000001 | Convergence tolerance. The algorithm terminates when changes in all authority and hub weights between iterations are less than this value. |
limit | INT | -1 | Limits the number of results returned (-1 = all). |
order | STRING | / | Sorts the results by authScore: asc or desc. |
Returns:
| Column | Type | Description |
|---|---|---|
nodeId | STRING | Node identifier (_id) |
hubScore | FLOAT | Hub score |
authScore | FLOAT | Authority score |
HITS for all nodes:
GQLCALL algo.hits({ maxIterations: 50, tolerance: 0.001, order: "desc" }) YIELD nodeId, hubScore, authScore
Result:
| nodeId | hubScore | authScore |
|---|---|---|
| A | 0.19108520439369922 | 0.8524670163199872 |
| F | 2.2374583080847388e-7 | 0.42727940782846513 |
| G | 0.19108520439369922 | 0.21299330239705236 |
| B | 0.38123492746878823 | 0.21299330239705236 |
| H | 0 | 5.003107718113052e-7 |
| E | 0.4764884500522332 | 0 |
| D | 0.5723201318624874 | 0 |
| C | 0.4764884500522332 | 0 |
Returns the same columns as run mode, streamed for memory efficiency.
GQLCALL algo.hits.stream({ order: "desc" }) YIELD nodeId, hubScore RETURN nodeId, hubScore ORDER BY hubScore DESC
Result:
| nodeId | hubScore |
|---|---|
| D | 0.5720777504129628 |
| E | 0.4767310977570136 |
| C | 0.4767310977570136 |
| B | 0.38138491402847763 |
| A | 0.19069283638448514 |
| G | 0.19069283638448514 |
| F | 4.5823157782445074e-15 |
| H | 0 |
Returns:
| Column | Type | Description |
|---|---|---|
nodeCount | INT | Total number of nodes |
minHubScore | FLOAT | Minimum hub score |
maxHubScore | FLOAT | Maximum hub score |
minAuthScore | FLOAT | Minimum authority score |
maxAuthScore | FLOAT | Maximum authority score |
GQLCALL algo.hits.stats() YIELD nodeCount, minHubScore, maxHubScore, minAuthScore, maxAuthScore
Result:
| nodeCount | minHubScore | maxHubScore | minAuthScore | maxAuthScore |
|---|---|---|---|---|
| 8 | 0 | 0.5720777504129628 | 0 | 0.8528025933604596 |
Computes results and writes them back to node properties. The write configuration is passed as a second argument map.
Write parameters:
| Name | Type | Description |
|---|---|---|
db.property | STRING or MAP | Node property to write results to. String: writes the authScore column in results to a property. Map: explicit column-to-property mapping (e.g., {hubScore: 'hub', authScore: 'auth'}). |
Writable columns:
| Column | Type | Description |
|---|---|---|
hubScore | FLOAT | Hub score |
authScore | FLOAT | Authority score |
Returns:
| Column | Type | Description |
|---|---|---|
task_id | STRING | Task identifier for tracking via SHOW TASKS |
nodesWritten | INT | Number of nodes with properties written |
computeTimeMs | INT | Time spent computing the algorithm (milliseconds) |
writeTimeMs | INT | Time spent writing properties to storage (milliseconds) |
GQLCALL algo.hits.write({}, { db: { property: {hubScore: "hub", authScore: "auth"} } }) YIELD task_id, nodesWritten, computeTimeMs, writeTimeMs